近期,资源与环境学院李成亮教授团队在《Journal of Environmental Management》在线发表了题为“Effects of straw returning combined with blended controlled-release urea fertilizer on crop yields, greenhouse gas emissions, and net ecosystem economic benefits: A nine-year field trial”的研究论文。李成亮教授为该论文的通讯作者,博士生高永祥为该论文的第一作者,我校山东农业大学为完成该论文的第一单位。
在中国,粮食安全是一个非常重要的问题。从2000年到2015年,中国作物产量增长了46.3%,占全球作物产量的19.9%。虽然粮食产量有所增加,但集约化农业管理也造成了土地退化和温室气体的排放,对粮食安全和农业生态系统构成了严重威胁。因此,迫切需要优化农艺措施,在提高作物产量的同时减轻环境压力,这对农业可持续发展至关重要。
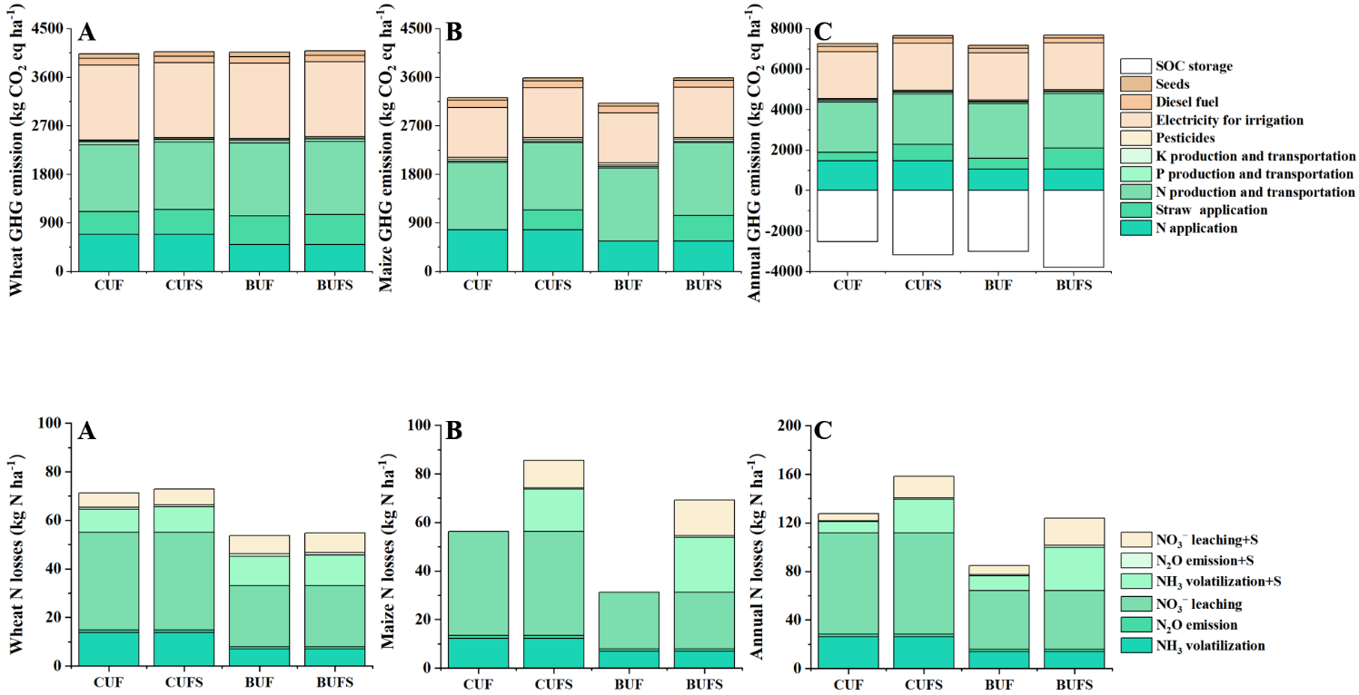
在前期工作的基础上,该研究基于一项连续9年的田间试验,并进一步结合生命周期分析(图1),探究了秸秆还田配施缓控释肥(BUFS)对作物产量、温室气体排放和生态系统效益的影响。

图1. 冬小麦和夏玉米轮作系统的温室气体排放边界
结果表明,BUFS处理相比秸秆还田配施普通氮肥(CUFS)处理分别显著提高了小麦和玉米的平均产量14.6%和13.2%,减少了年平均温室气体排放总量10.7%(图2)。此外,虽然BUFS处理相比CUFS处理在一定程度上增加了年平均生态成本9.8%,但其同时增加了净产量效益20.4%和土壤养分价值22.5%,最终提高了生态系统净效益23.1%。

图2. 不同施肥处理下温室气体的排放贡献
综上所述,本研究从环境和经济角度为农田管理提供了一些见解。本研究条件下的施肥模式决定了农场管理转型的潜力和规模,以进一步在保证作物产量的同时,为中国实现碳中和的总体目标做出贡献。
该研究得到了国家自然科学基金项目的资助。
论文链接:
https://doi.org/10.1016/j.jenvman.2024.120633
编 辑:万 千
审 核:贾 波








