近日,水利土木工程学院农业水土资源高效利用团队在Field Crops Research发表了题为“Synergistic impact of various straw-return methods and irrigation regimes on winter wheat physiological growth and yield”的研究论文。水利土木工程学院硕士生刘福莹为本文第一作者,李全起教授为通讯作者。
农作物秸秆是地球上最大的可再生生物资源之一,其在农业生态系统中的作用不容忽视。玉米秸秆还田能保持土壤水分,改善土壤环境,提高作物生产力,但对冬小麦生长的影响因还田方式而异。优化灌溉可以提高秸秆还田效果,增加冬小麦产量,对保障干旱地区粮食安全具有重要意义。
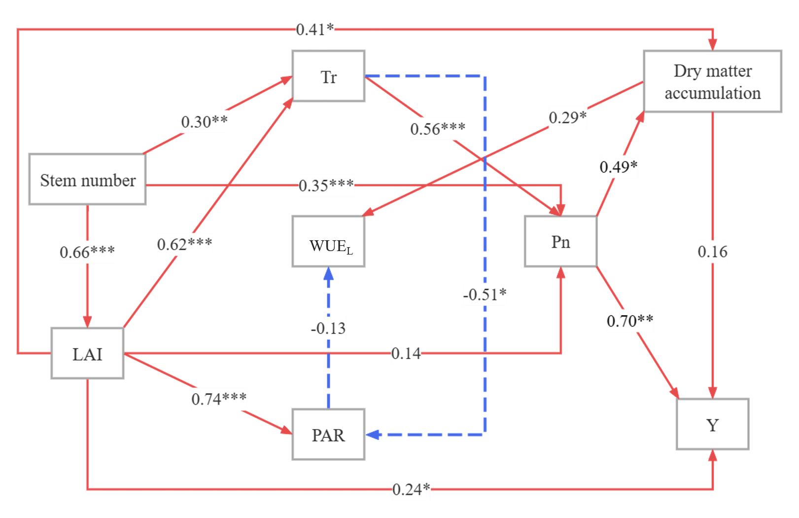
研究人员以华北平原冬小麦为研究对象,对2020–2022生长季的田间试验数据进行分析,揭示了不同秸秆还田方式和灌溉制度耦合对冬小麦生理生长和产量的影响。田间试验表明,秸秆翻埋还田与灌溉相结合的方式显著提升了冬小麦单茎数、叶面积指数及净光合速率,相较于秸秆覆盖还田结合灌溉的处理,其效果更为突出。在相同秸秆还田处理下,灌水提高了秸秆还田效果,冬小麦产量和干物质积累量随灌水量的增加而增加。研究结果表明,在秸秆翻埋还田结合拔节期、抽穗期各灌溉60 mm处理下,冬小麦产量最高。此外,结构方程模型(SEM)分析进一步揭示了叶面积指数和光合速率对冬小麦产量形成具有显著积极作用。

该研究得到了“十四五”国家重点研发计划项目、国家自然科学基金项目和山东省自然科学基金项目的资助。
原文链接:
https://doi.org/10.1016/j.fcr.2024.109516
编 辑:万 千
审 核:贾 波








